Deep Work #04 - Differential Equations Finals Prep
Finals preparation for Differential Equations - reviewing Laplace transforms, inverse transforms with partial fractions, step functions, and classifying stability of systems using eigenvalues and the trace-determinant plane.
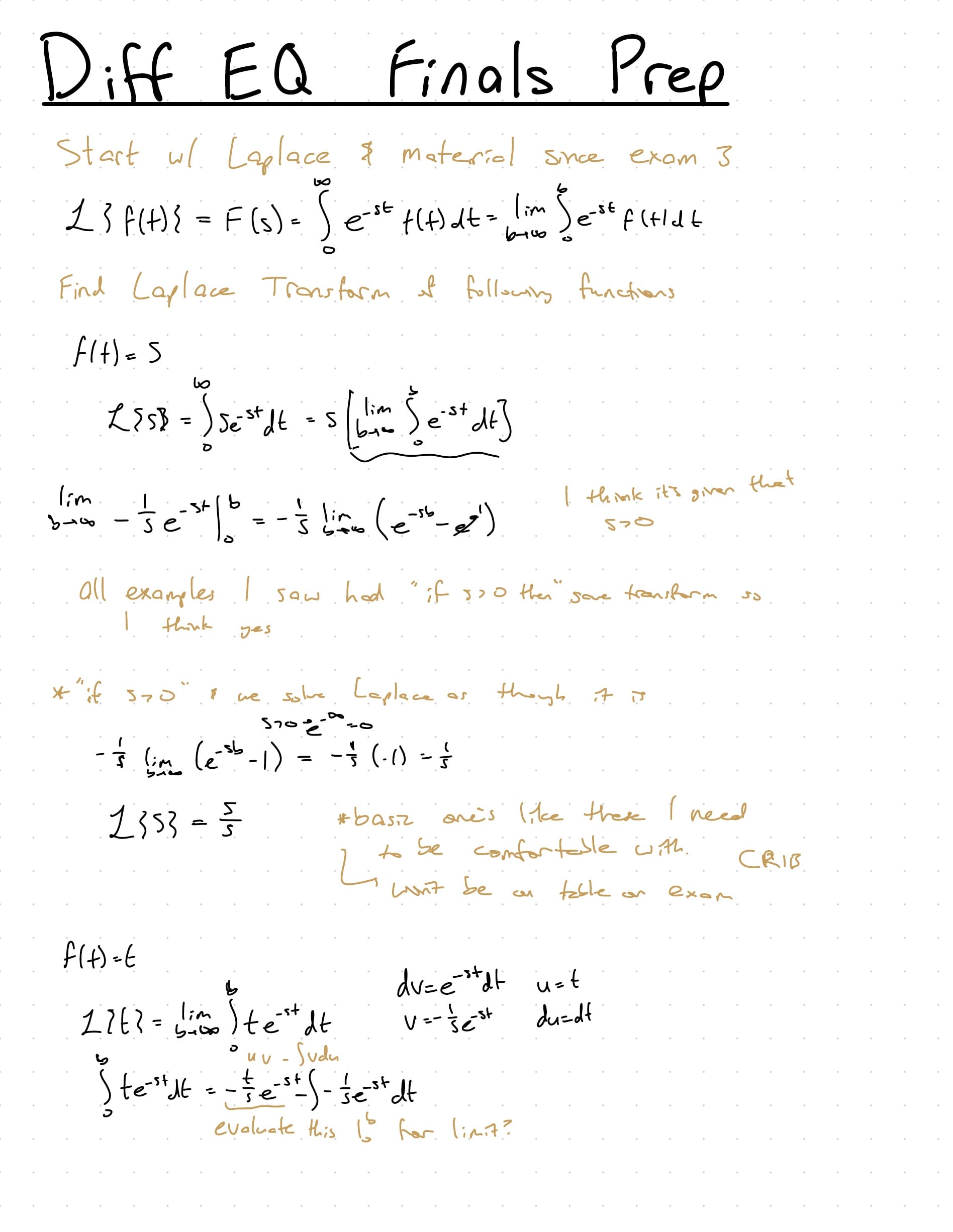
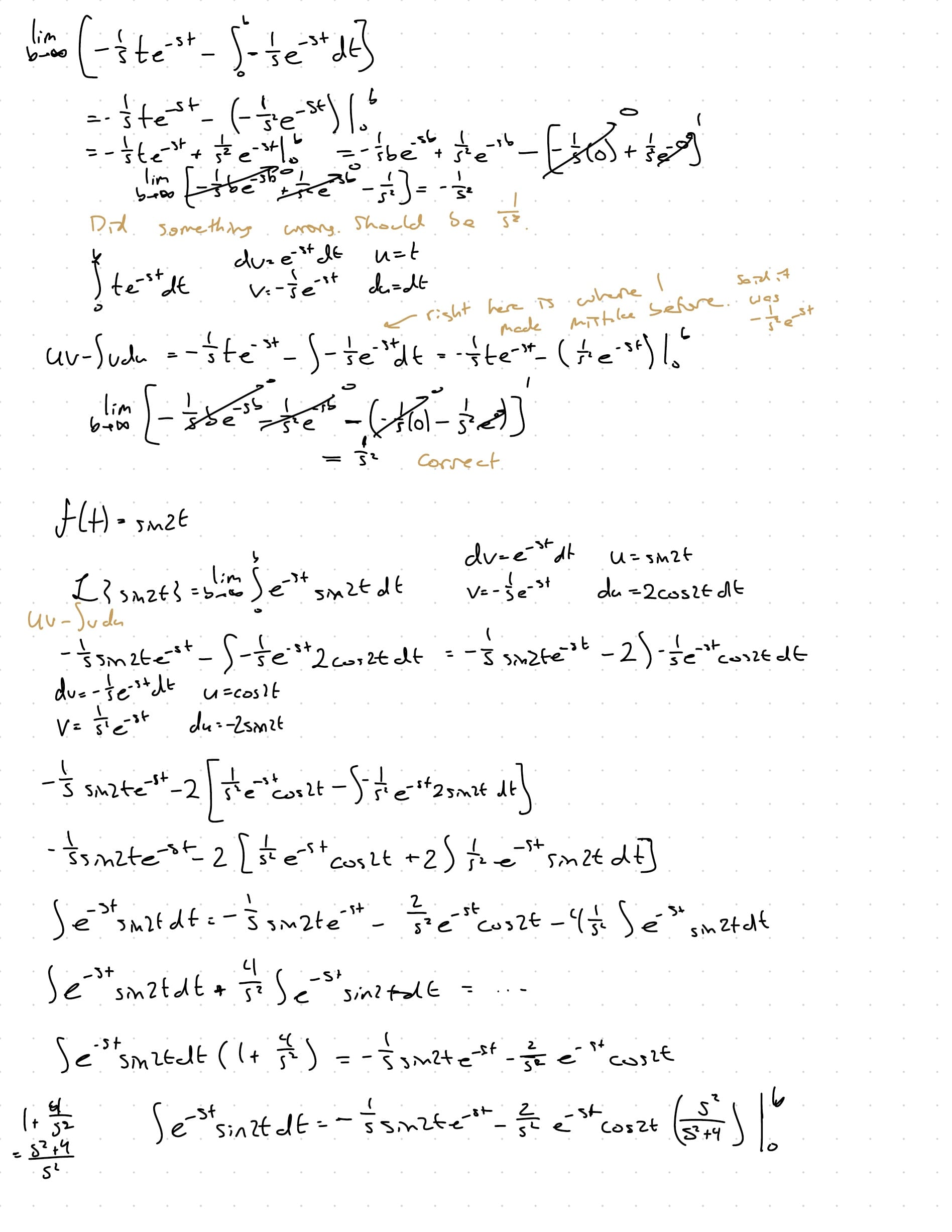
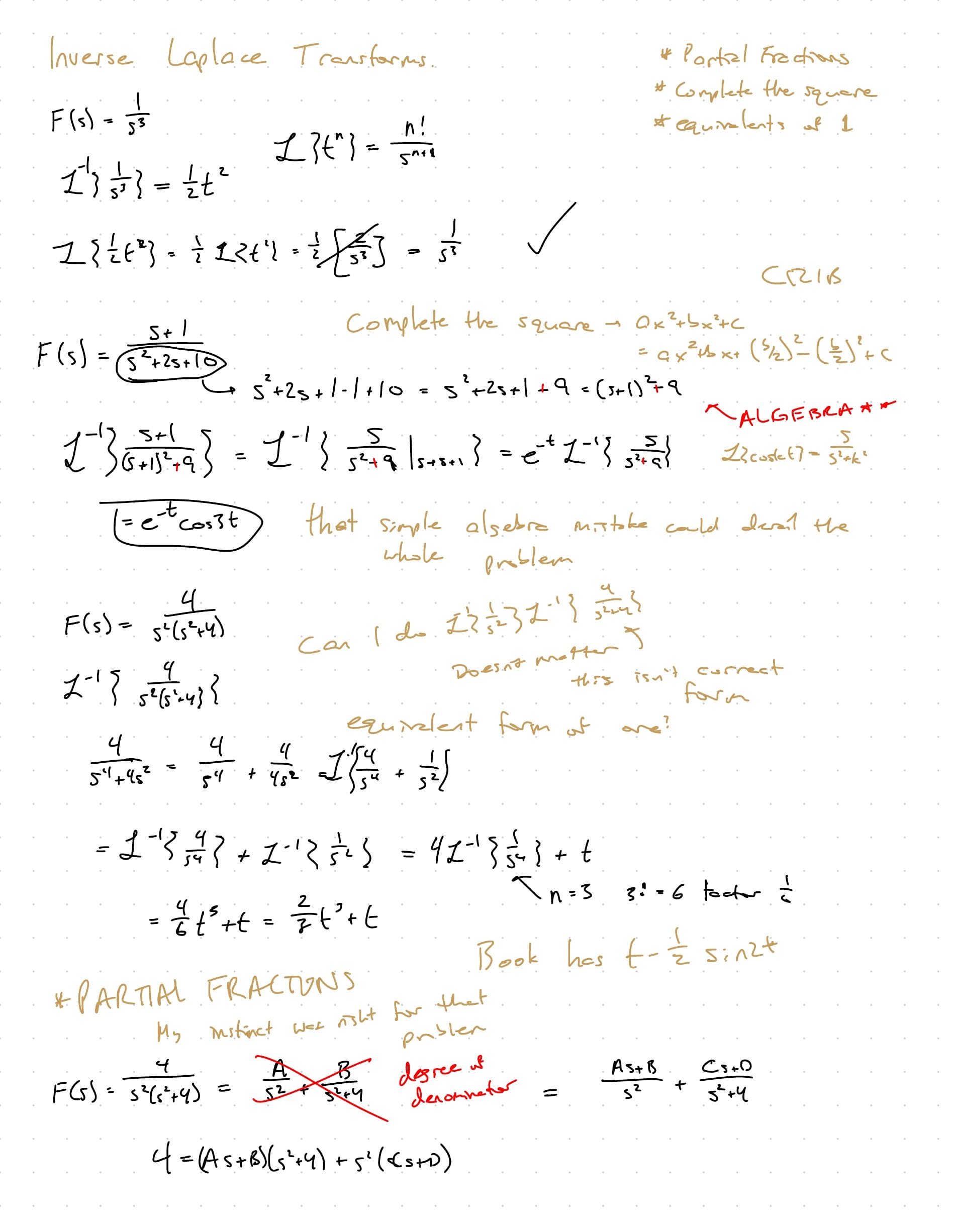
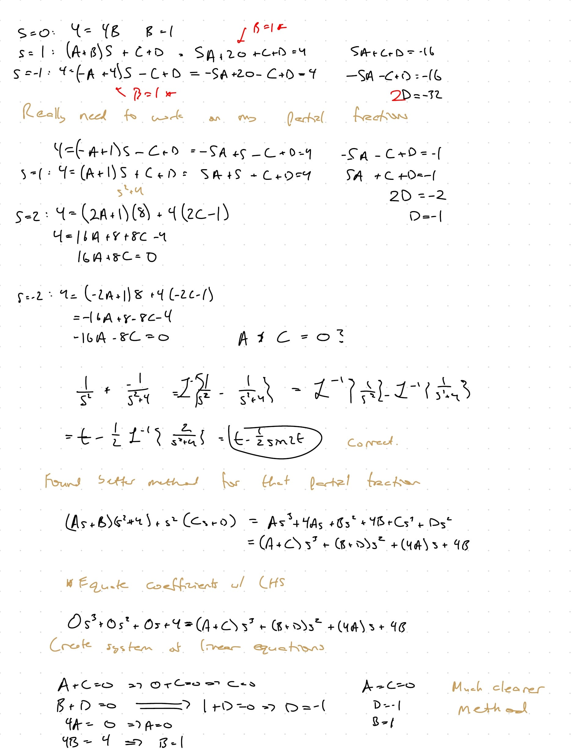
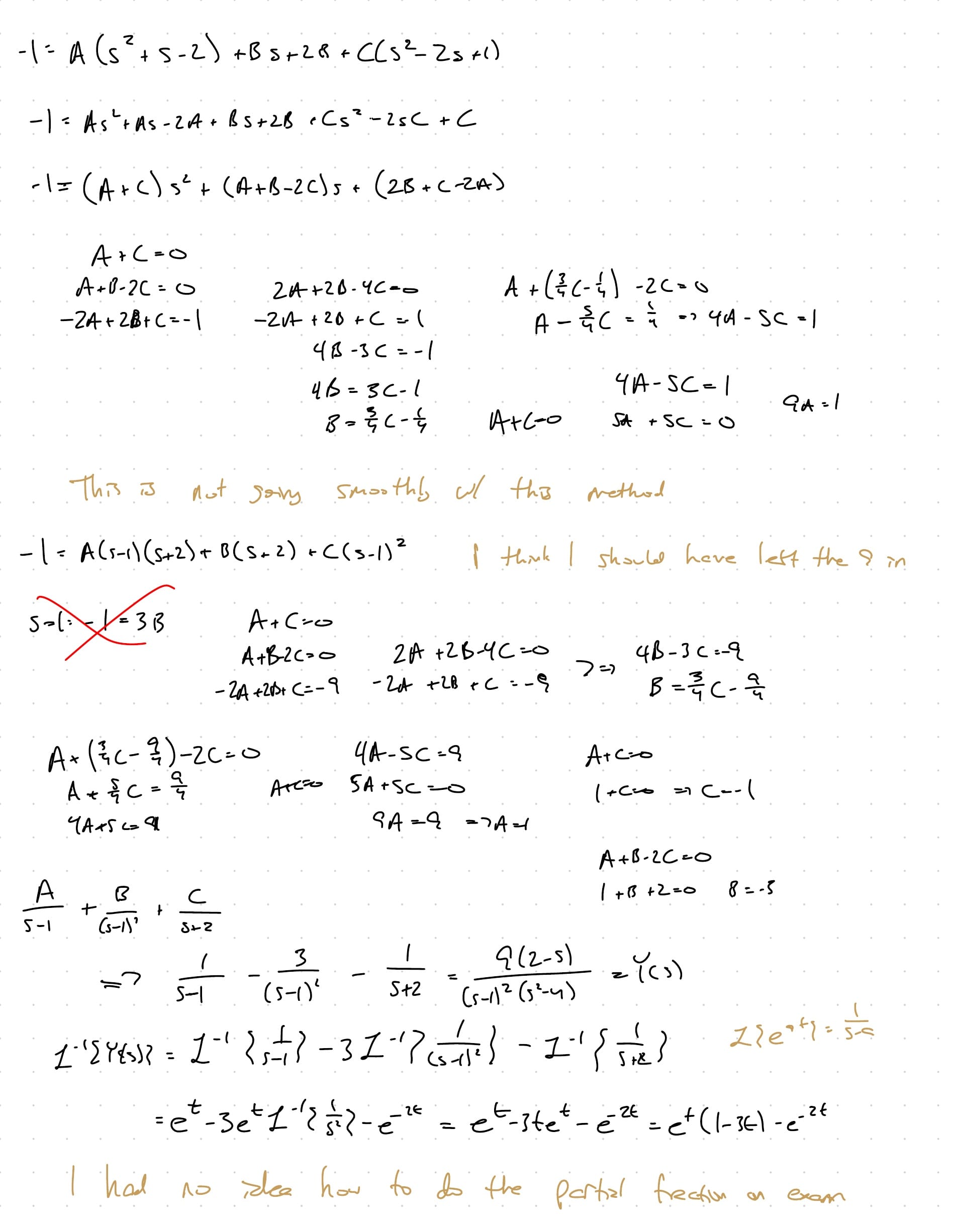
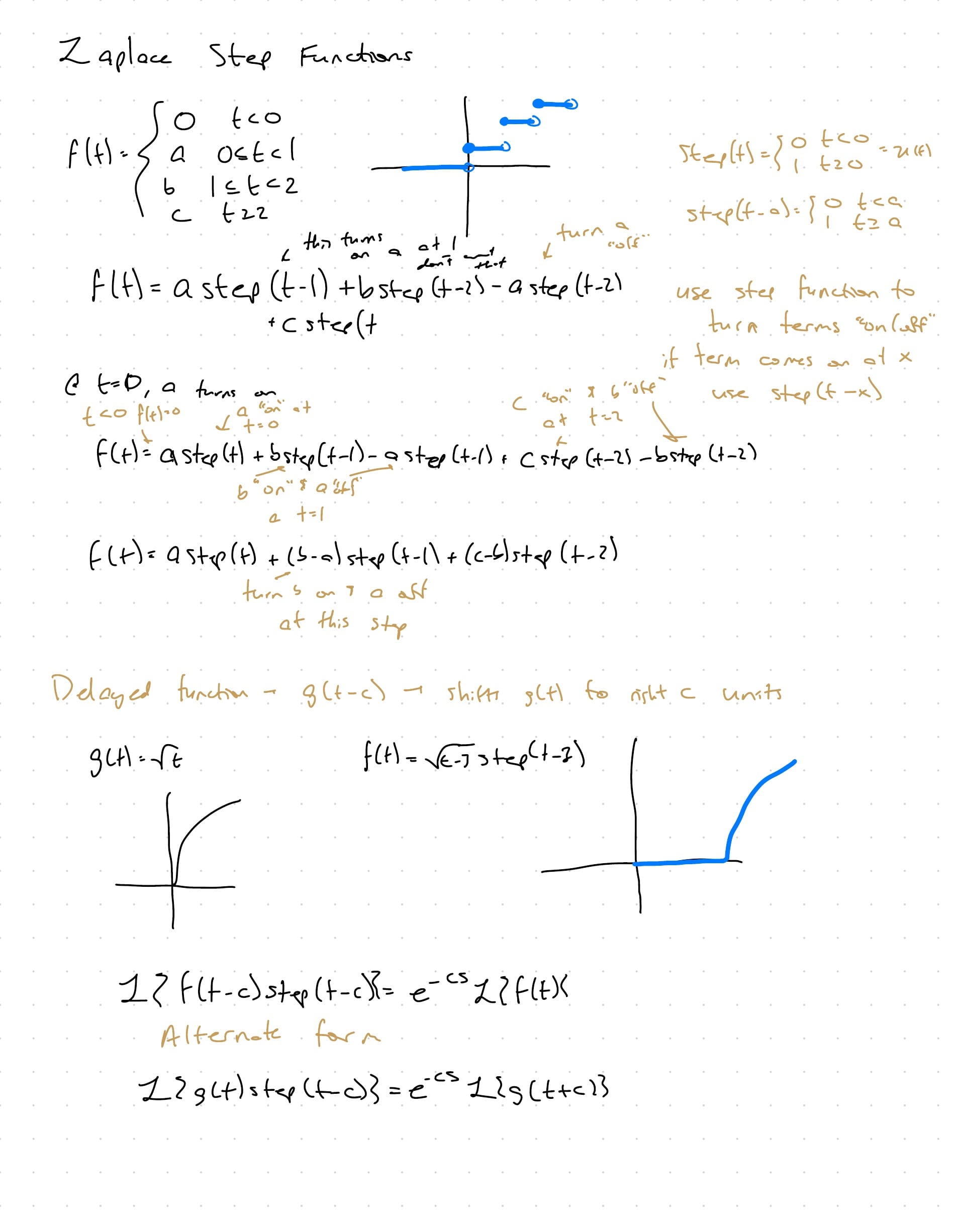
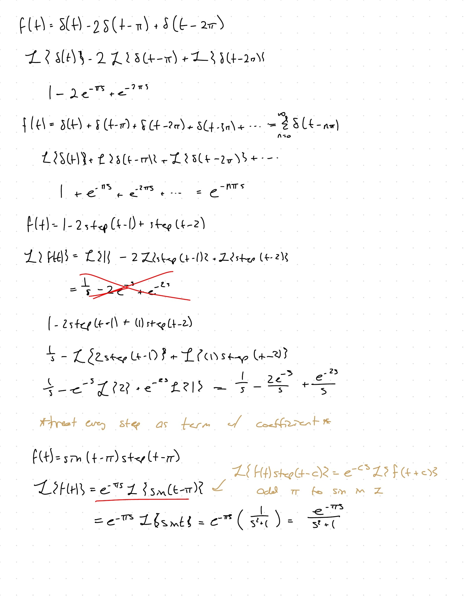
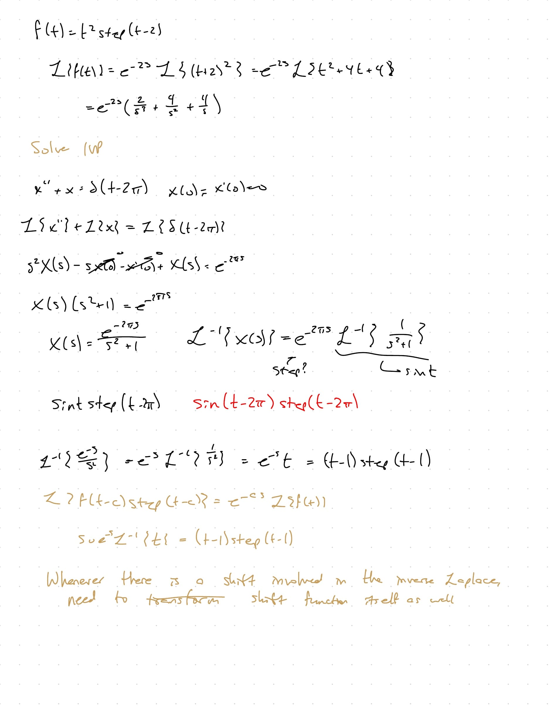
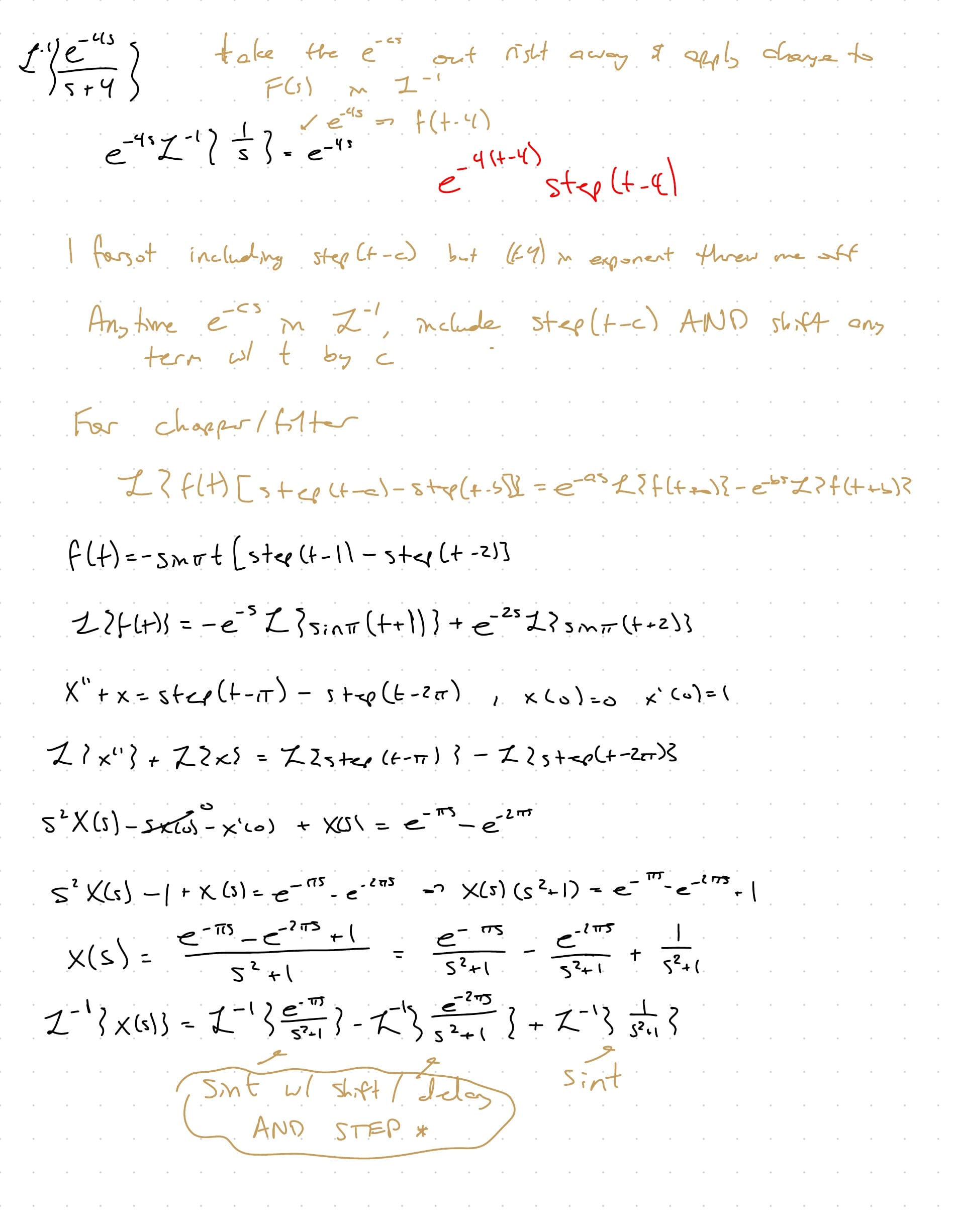
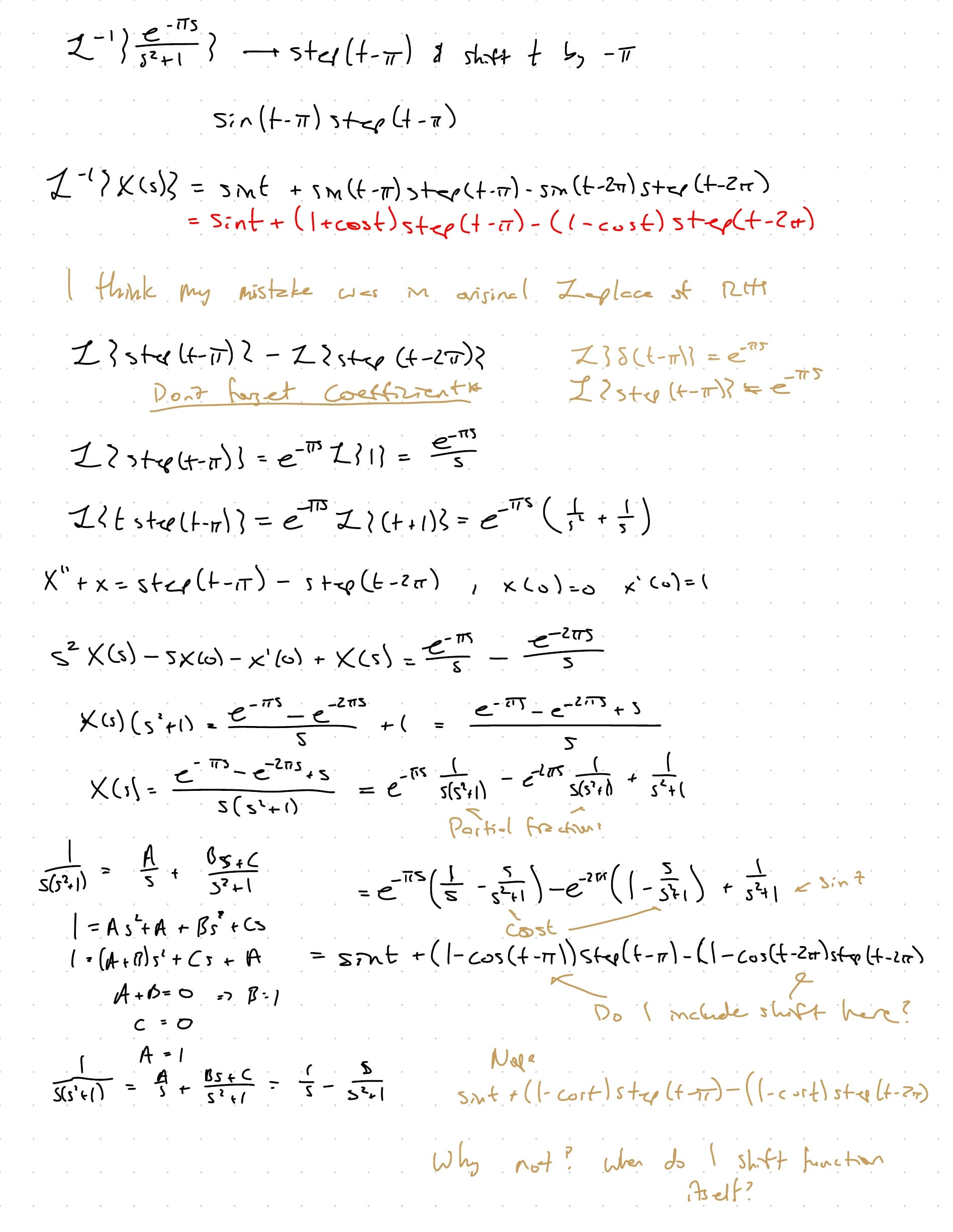
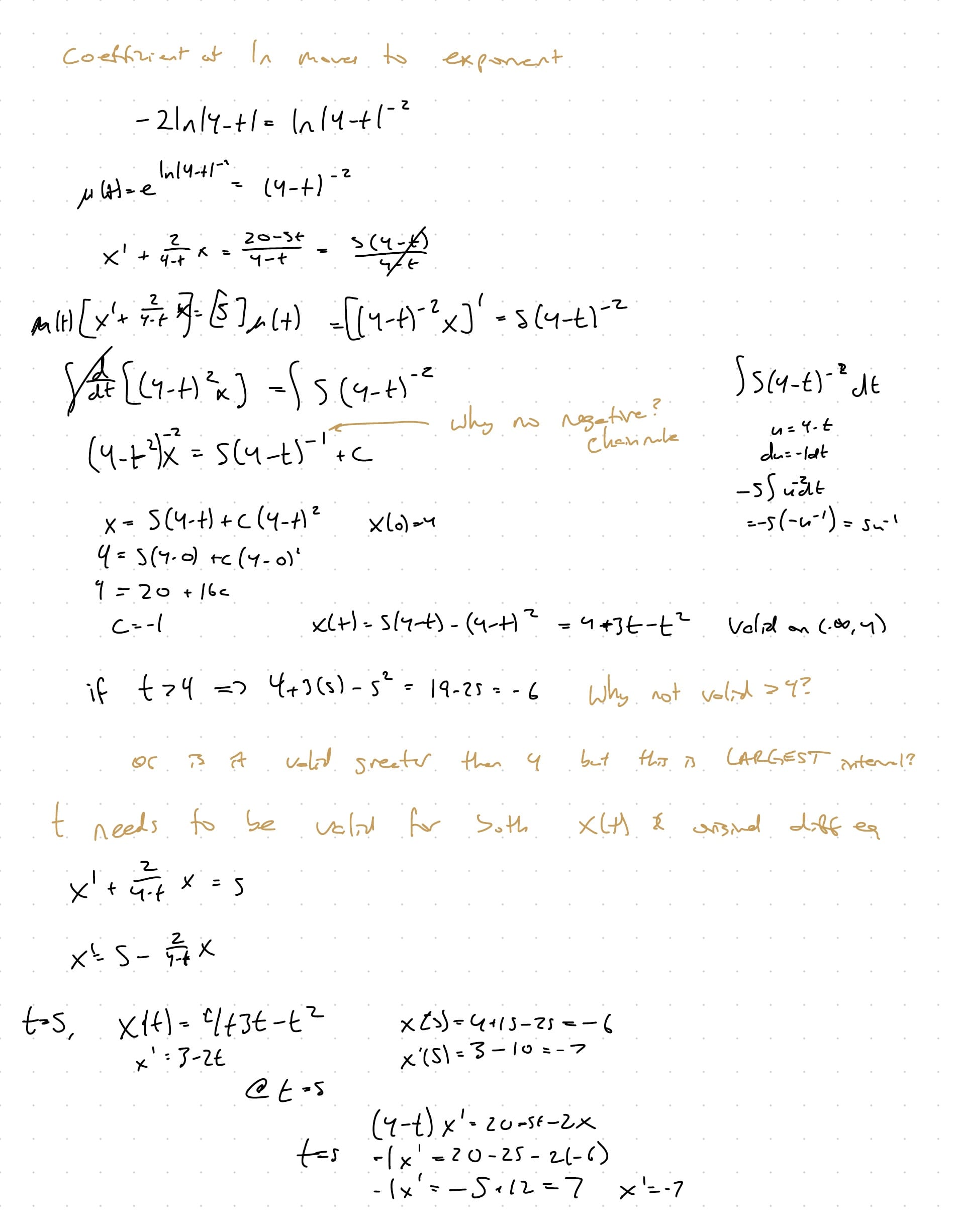
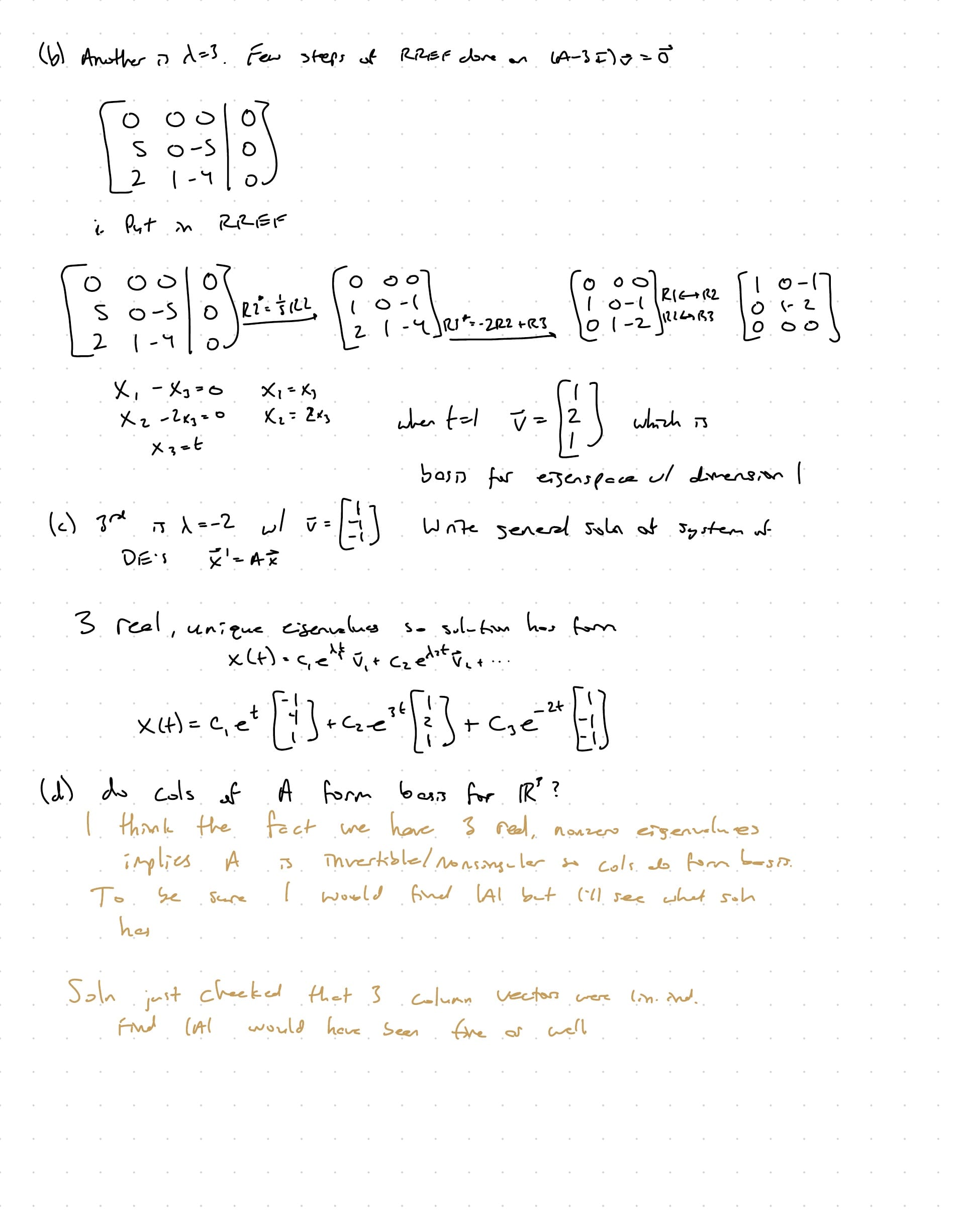
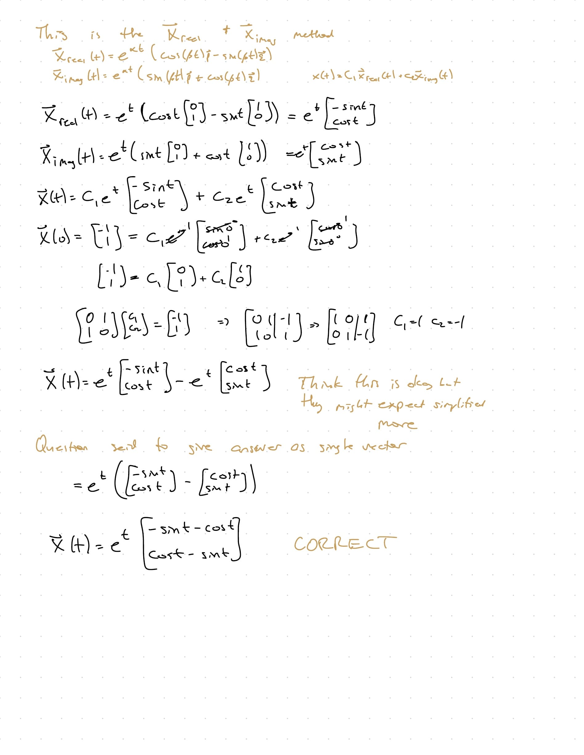
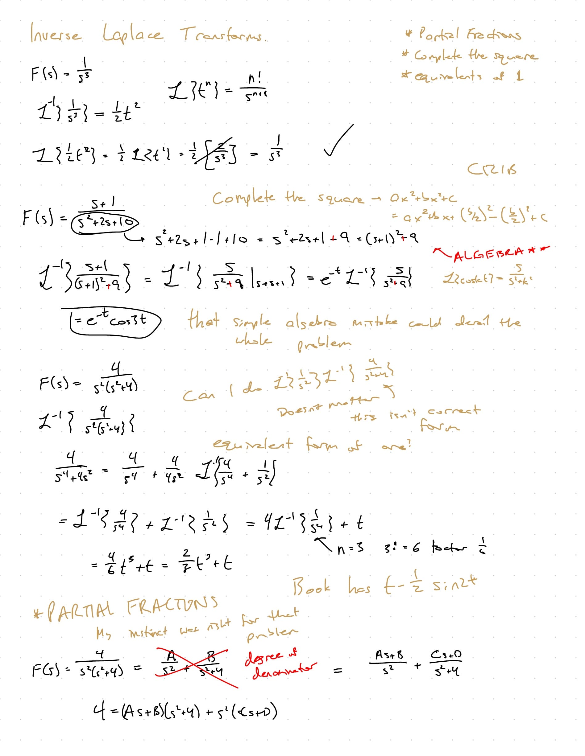
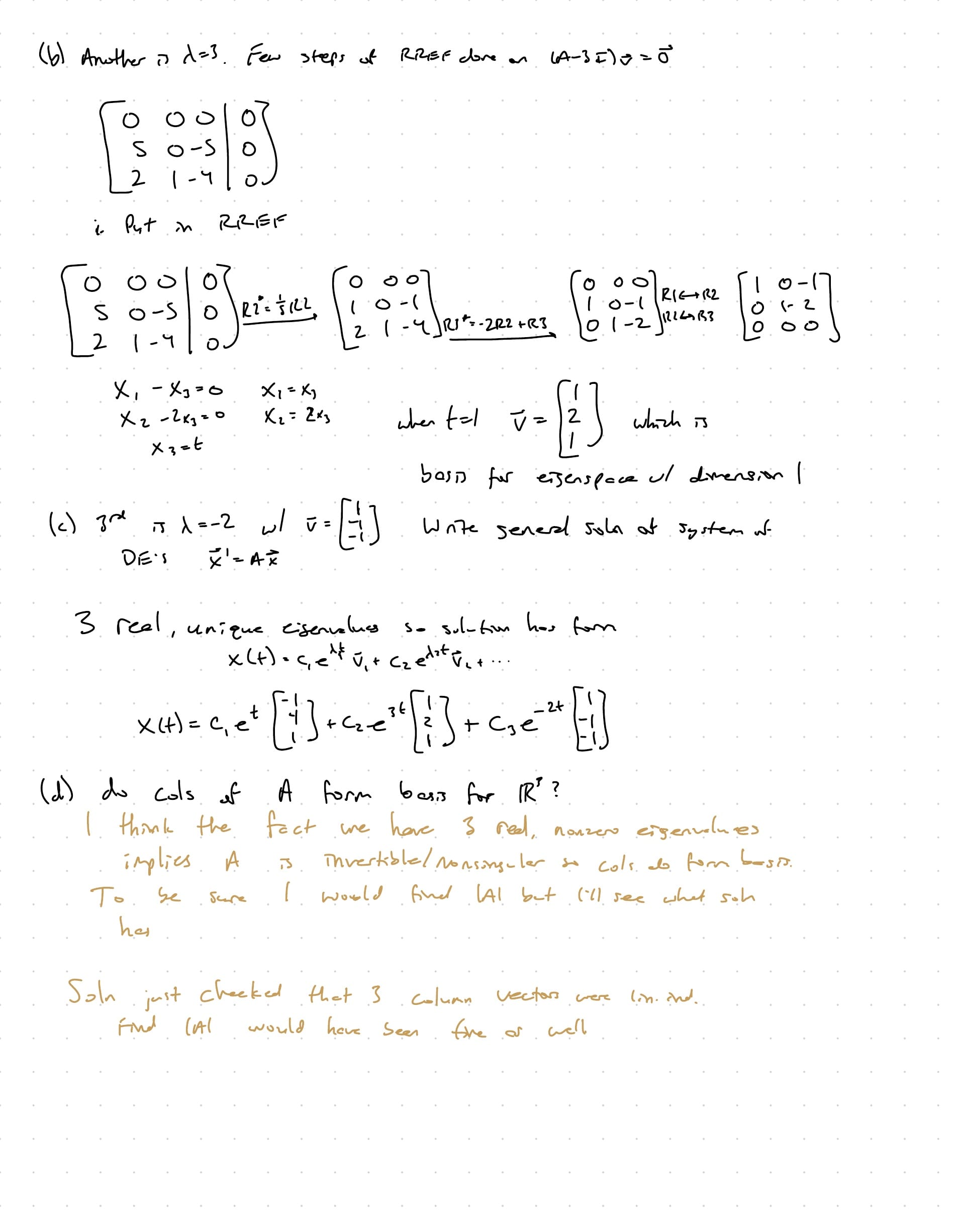
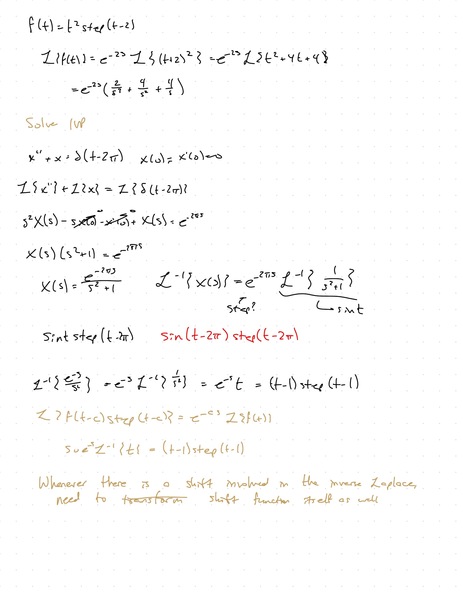
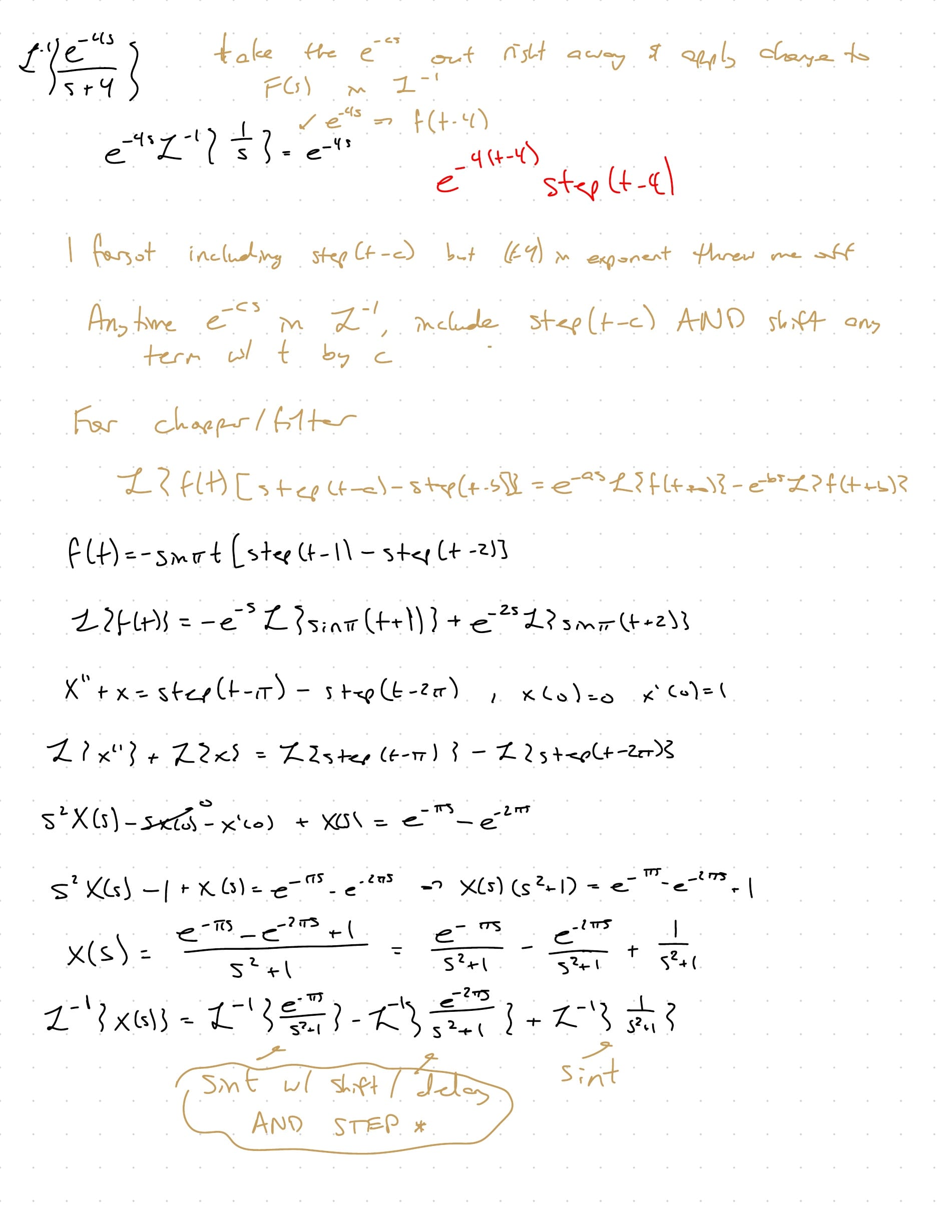
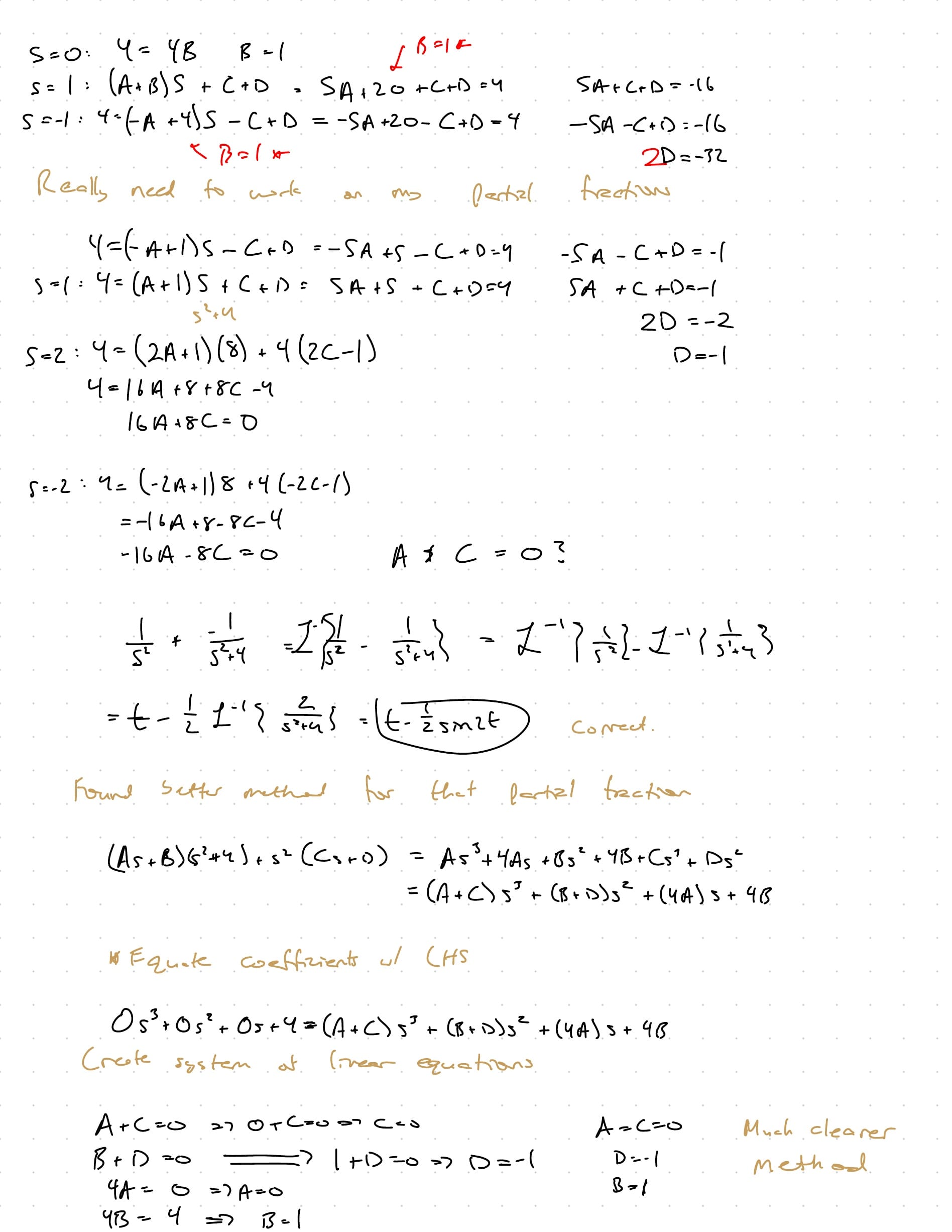
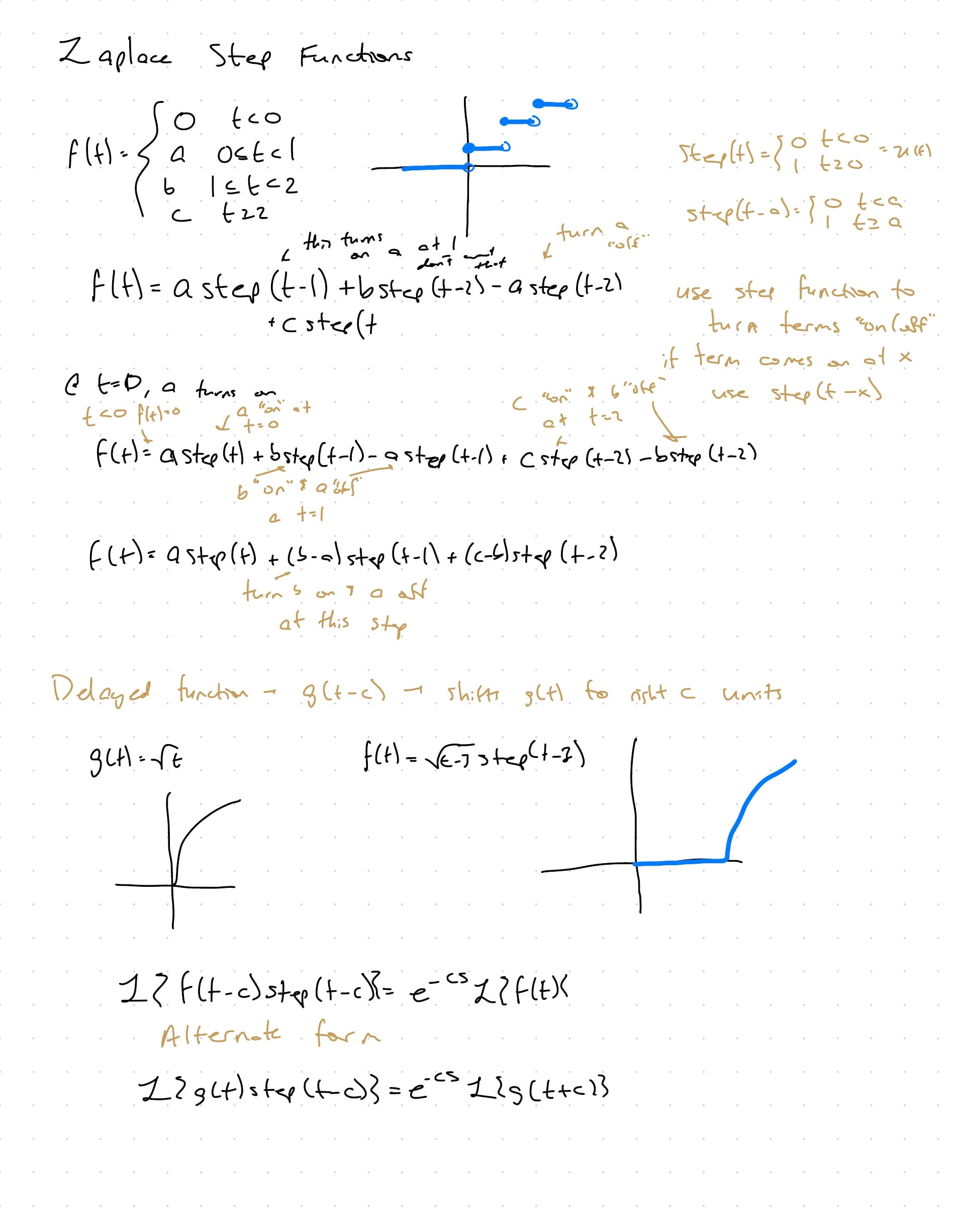
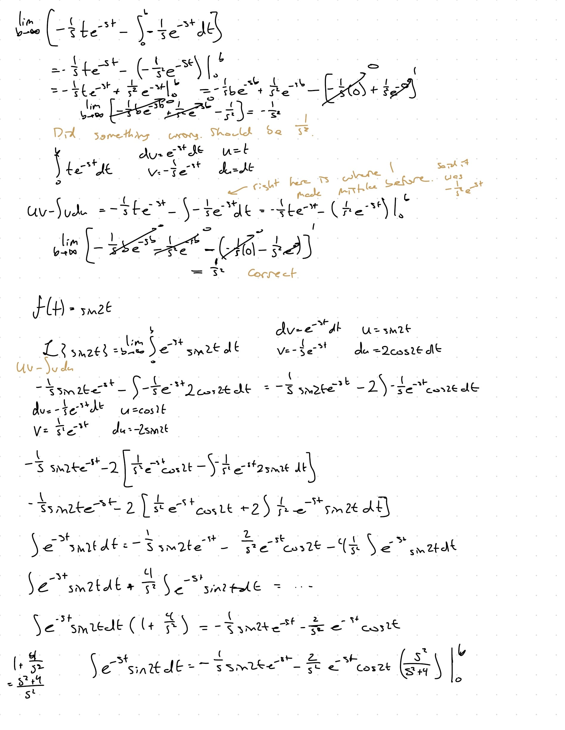
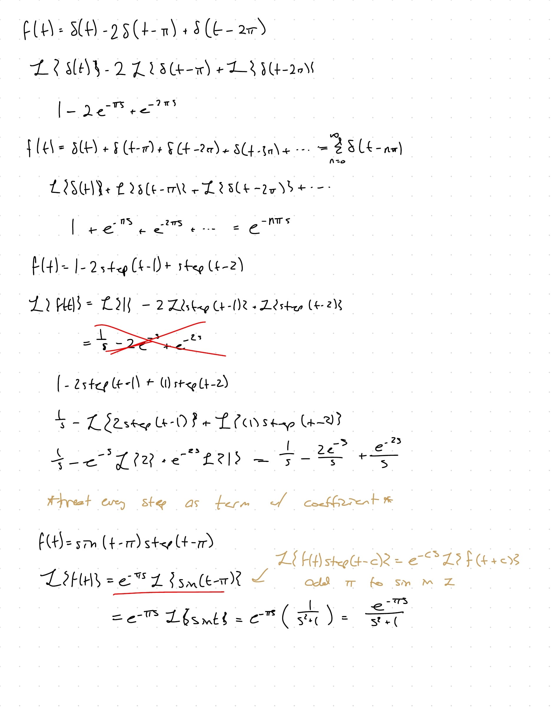
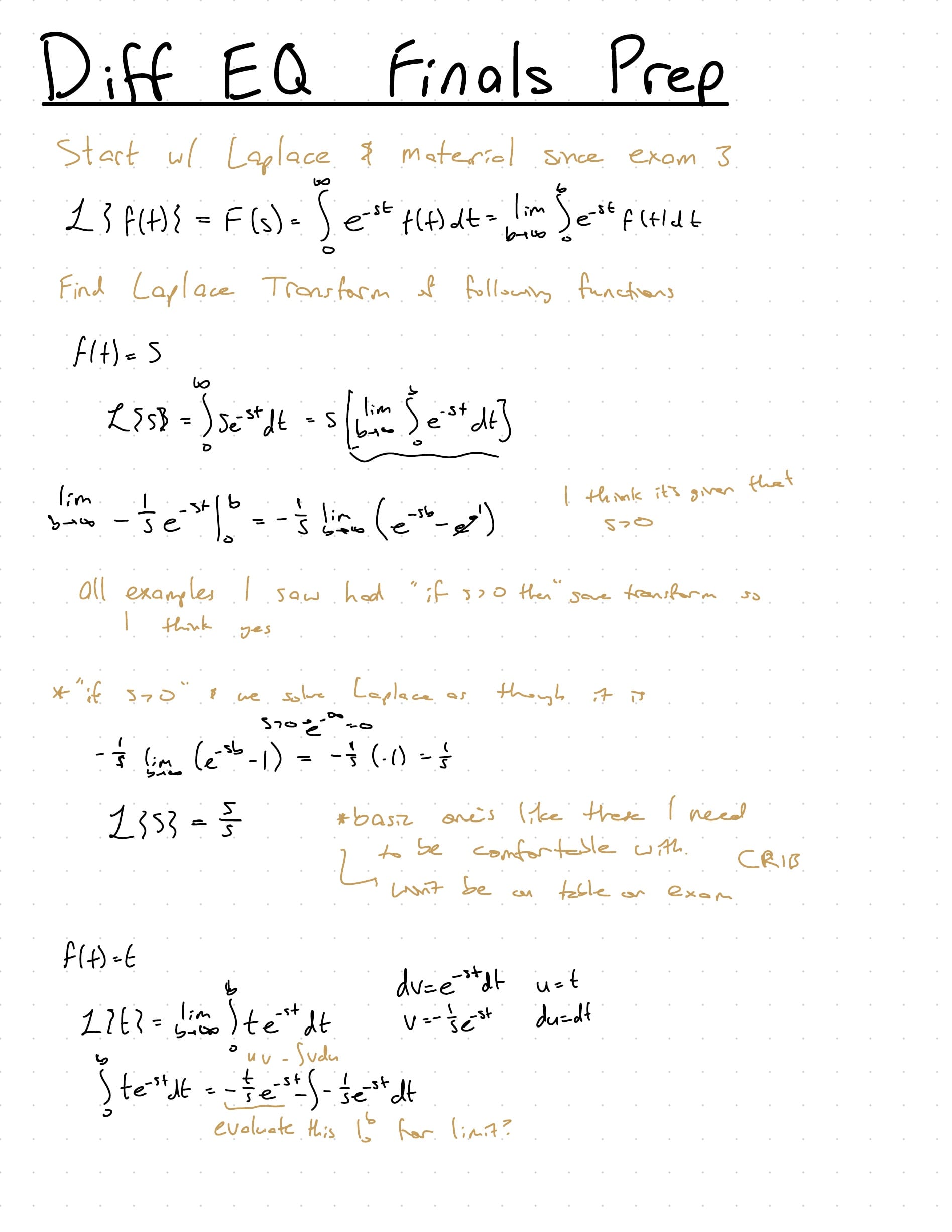
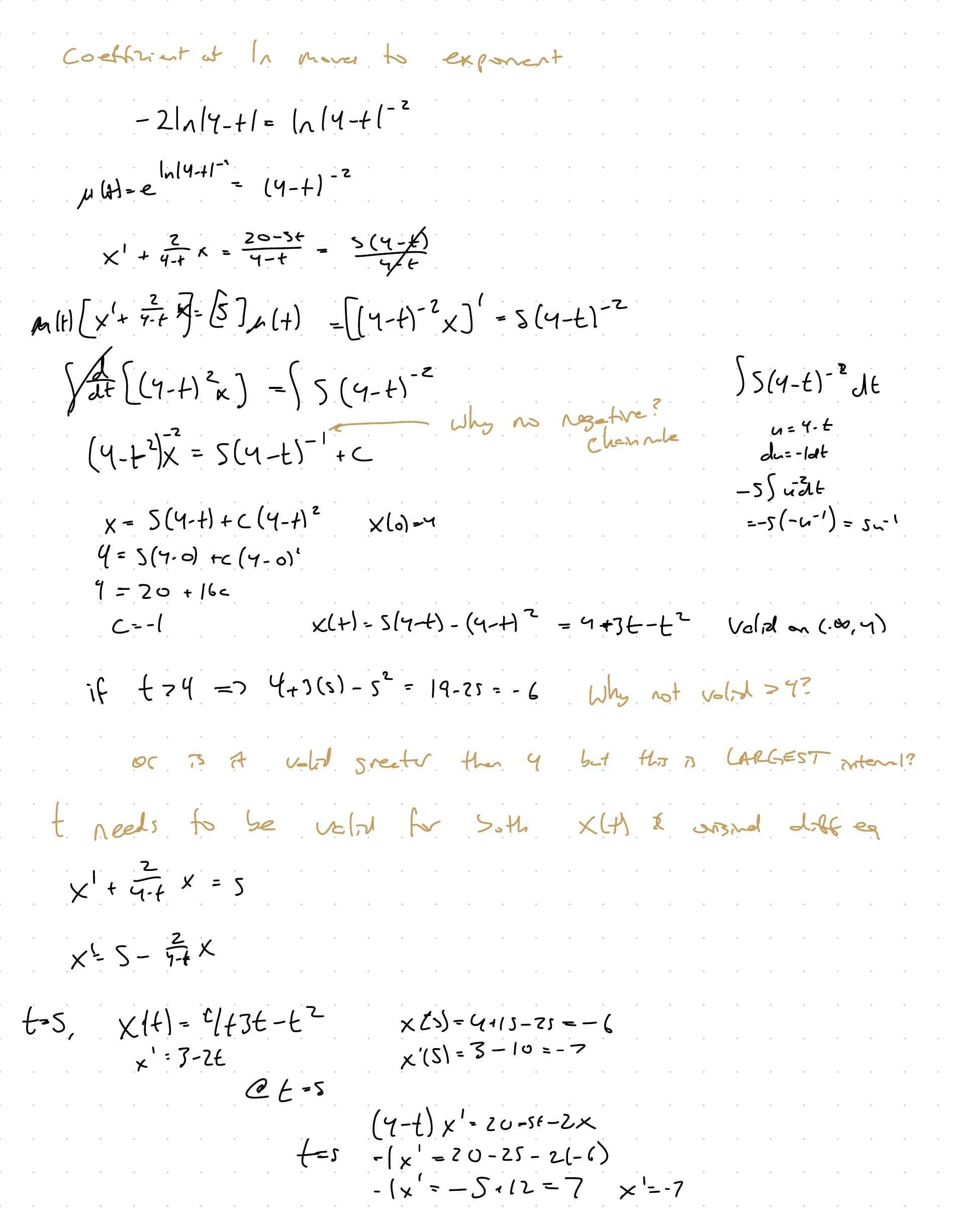
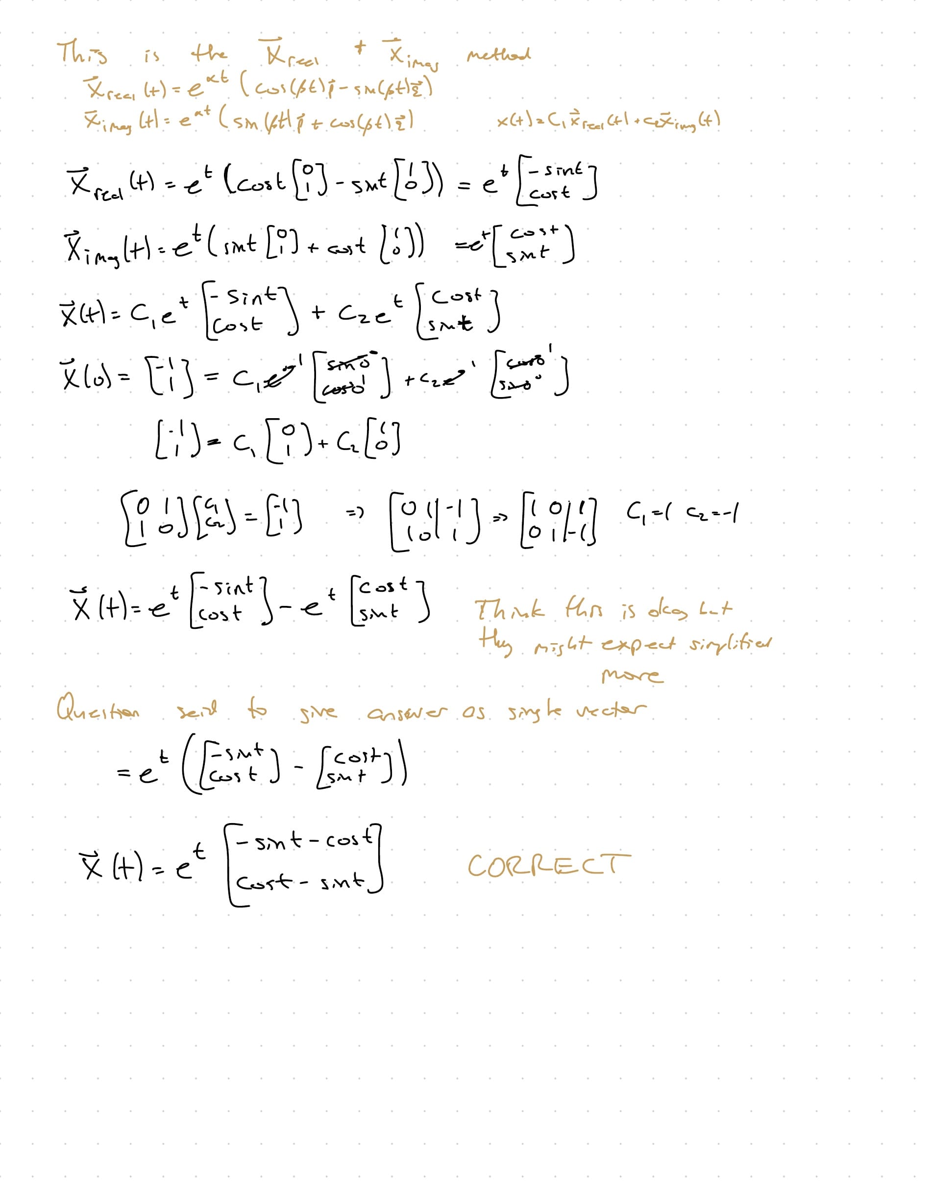
In this session I reviewed key topics to prepare for my Differential Equations final exam. I worked through Laplace transforms and inverse transforms using partial fractions, practiced problems involving step functions and delayed functions, solved IVPs using Laplace methods, and reviewed classifying stability of systems using eigenvalues and the trace-determinant parameter plane. Considerable time spent on partial fractions algebra and understanding when to apply function shifts.
You can find PDF of my notes on my GitHub.
The primary resource I am using is Differential Equations and Linear Algebra (2nd ed) by Farlow and Hall. This is the textbook we use at my university.
Below are my complete notes from this session. You can also download as PDF using the link at beginning of post. I stopped the recording before I was done so the notes will have more work than the video.




























Part of my Deep Work Archives - raw, unedited study sessions documenting my learning process.