Deep Work #03 - Electric Fields
Understanding electric fields - calculating field strength and direction from point charges and charge distributions.
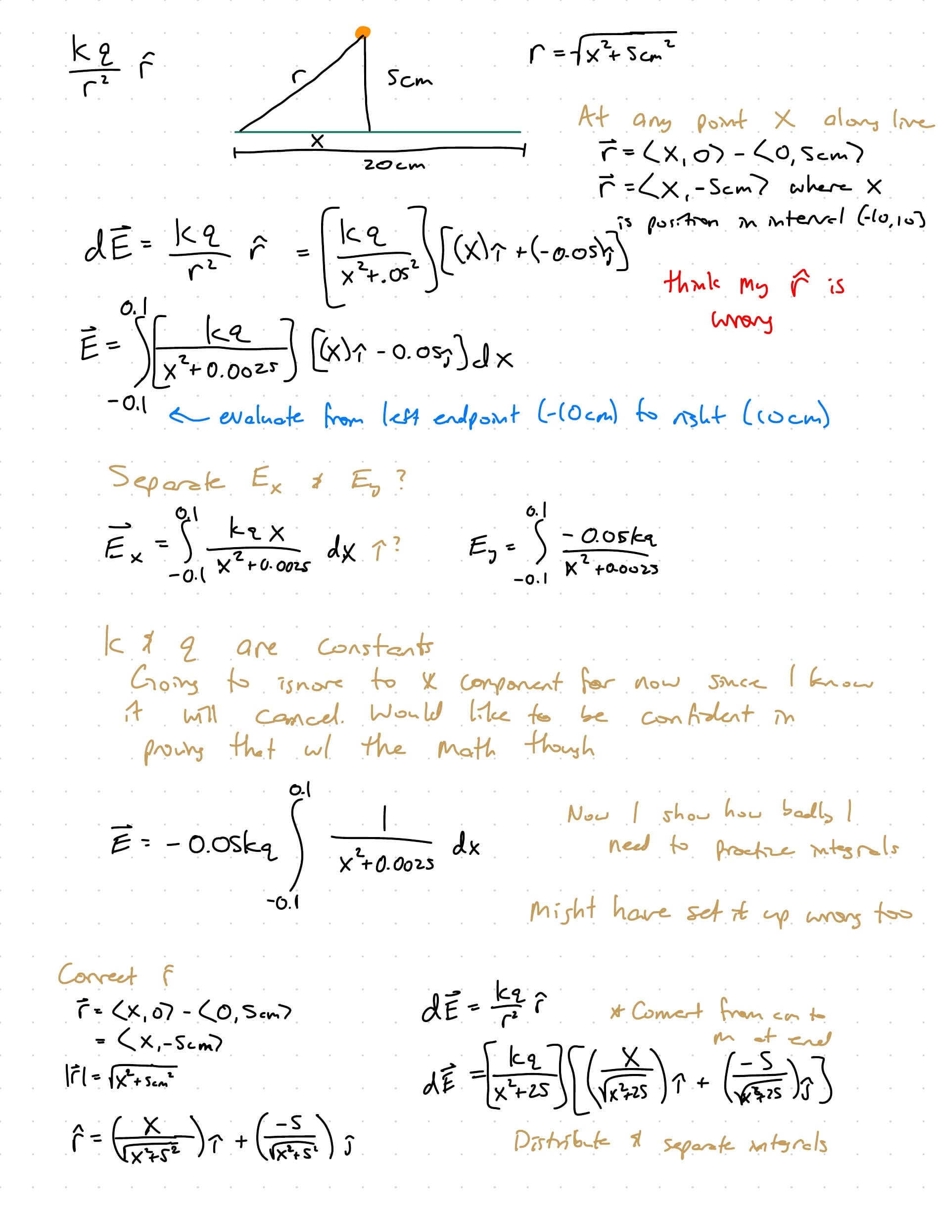
Expanding on yesterday's session on Coulomb's Law, today I worked through some electric field problems and explored fundamental concepts. I did not get through as much as I had hoped. I learned the hard way why I need to review this material for my upcoming final. I got stuck on a relatively simple problem and spent majority of today going through that. I came close but I want to be sure I understand the math and full process so I will be returning to it tomorrow.
The resource I am using is University Physics with Modern Physics (15th ed) by Young and Freedman and notes from my lectures.
Below are my complete notes from this session. You can also download as PDF using the link at beginning of post.










Part of my Deep Work Archives - raw, unedited study sessions documenting my learning process.