Deep Work #02 - Coulomb's Law
Working through Coulomb's Law - calculating force vectors between multiple charged particles.
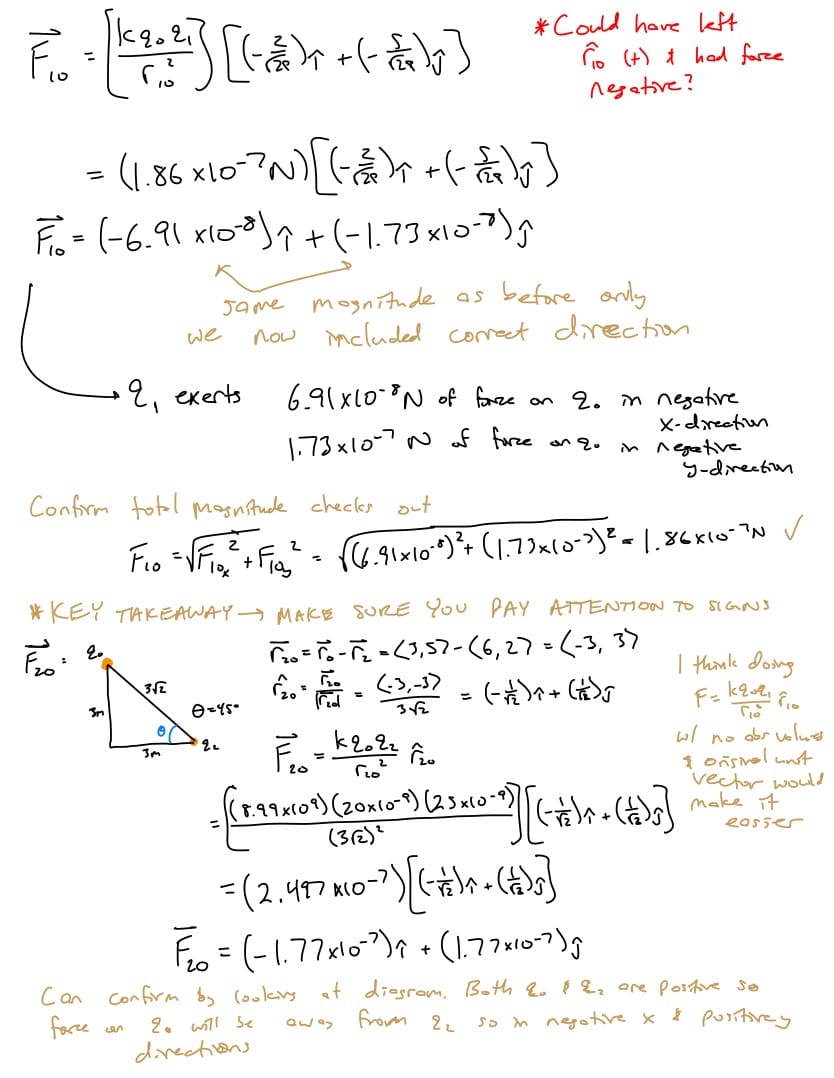
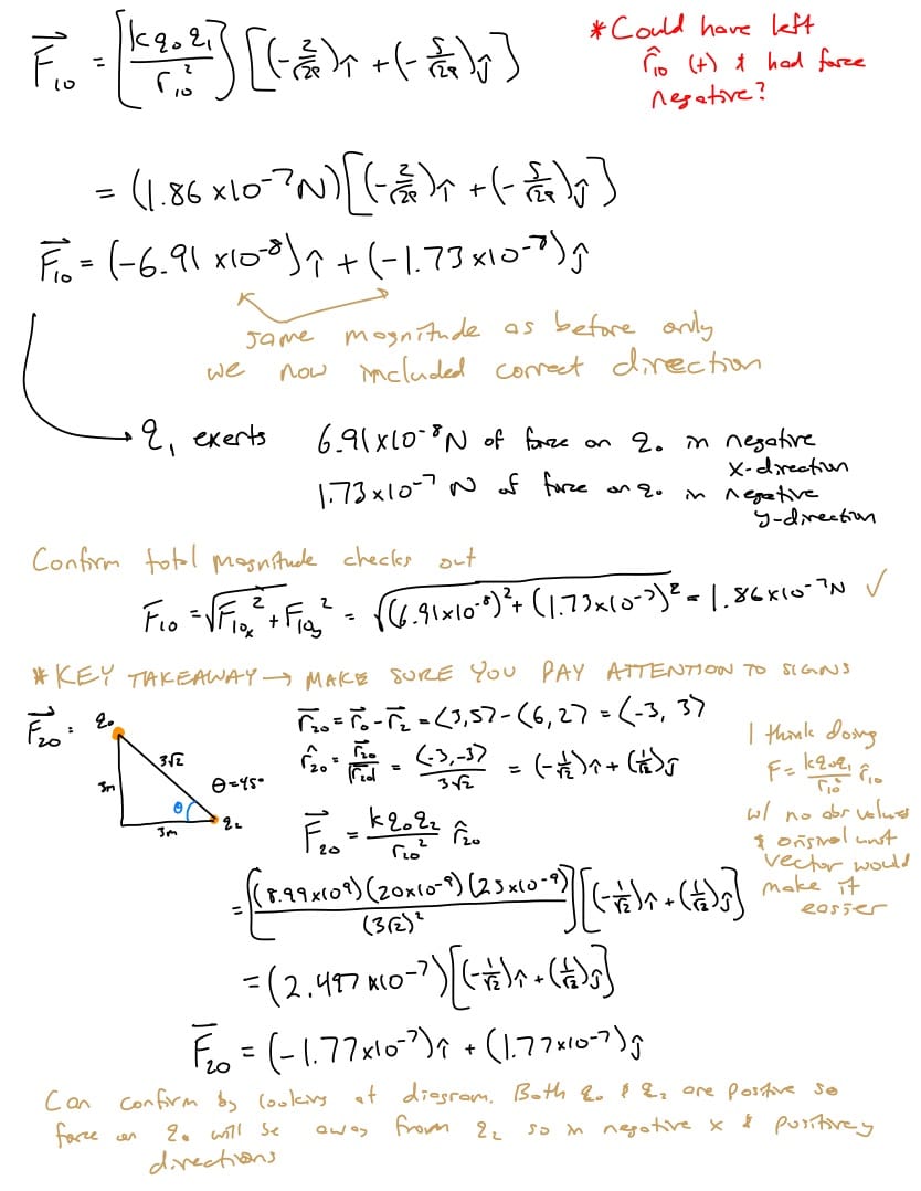
In this session I explored electric forces between charged particles using Coulomb's Law. I walked through two simple examples. First calculating electric force in a two particle system and then introducing the superposition principle and finding net force when there are multiple charged particles to consider. Considerable time spent on vectors and trigonometry.
The primary physics resource I am using is University Physics with Modern Physics (15th ed) by Young and Freedman. My physics professor recommended it to me at the beginning of this semester. It's been excellent.
Below are my complete notes from this session. You can also download as PDF using the link at beginning of post.








Part of my Deep Work Archives - raw, unedited study sessions documenting my learning process.